1.1良い暖かいエッジ
絶縁ガラスのエッジシール材料には、アルミニウムストリップ、鋼およびステンレス鋼材料、有機シリコン材料などが含まれます。材料の熱伝導率が異なるため、絶縁ガラスの端に形成される熱伝導も大きく異なります。 表1は、ガラスの絶縁に使用されるさまざまな種類の材料の熱伝導率を示しています。
表1異なる材料の熱伝導率:
材料科学 | 熱伝導率 [W/(m * K)] |
アルミニウム | 160 |
スチール | 50 |
ステンレス钢 | 17 |
ガラス | 1 |
シリコン密封剤 | 0.35 |
TPS材料 (ブチルゴムタイプ) | 0.3 |
さまざまなタイプの材料で構成されるエッジシーリングシステムは、さまざまな熱伝導効果を生み出します。 熱可塑性スペーサー (TPS) は、従来の絶縁ガラススペーサーで使用されているアルミニウムやステンレス鋼などの優れた熱伝達金属を放棄します。 TPSで作られた絶縁ガラスの線形熱伝導率は、従来の製品よりもはるかに低く、ガラスの端で放熱を遮断し、窓全体の省エネ効果を向上させます。
図1は、従来のスロット付きアルミニウム断熱ガラスと熱画像下での熱可塑性スペーサーTPS断熱ガラスの比較を示しています。 写真1から、従来のエッジシリングシステムでスペーサー材料としてアルミニウムやその他の金属材料を使用しているため、熱伝導率が高いことがわかります。これにより、エッジシール領域から絶縁ガラスを熱が通過しやすくなり、エッジの温度が低下します。
写真1
人々の生活の質の向上に伴い、快適な生活環境に対する需要も高まっています。 熱可塑性バリア (TPS) シーリングシステムによってもたらされるウォームエッジ効果は、室内の温度を安定させ、空気の対流を減らし、より快適な室内環境を提供するのに役立ちます。 暖かいエッジシステムが存在するため、窓ガラスの端での水ミストの结露が减少し、窓枠のメンテナンスコストも低下します (写真2を参照)
写真2
1.2低い水蒸気透过性
熱可塑性スペーサー (TPS) は、直接押出成形用に分子ふるいと混合された特殊なブチルゴムを採用しており、シーリング材料の粘稠度は良好です。 同時に、熱可塑性スペーサーとガラスおよびシリコーン接着剤との間の密接な化学結合のために、中空ガラス構造はより安定しており、結合はよりしっかりしています。 表2は、異なるシーリング材料の水蒸気およびガス透過性を示す。 ブチルゴム材料は、シリコーンゴムや多硫化ゴムよりも水蒸気とガスバリア能力が優れており、水蒸気の侵入やガス漏れを防ぐためのバリア性が優れていることがわかります。これは、絶縁ガラスのシーリング性能を長期間維持し、省エネ性能を確保するのに役立ちます (下の写真3に示すように)。

表2異なるシーリング材料の水蒸気とガスの透過率
材料科学 | ガス透磁率g/(m ² 24h) | 水蒸気透过率g/(m ² 24h) |
ポリスルフィド接着剤 | 0.03-0.1 | 5-10 |
シリコーン接着剤 | ≥ 20 | 15-20 |
ブチルゴム | 0.002-0.005 | ≤ 0.9 |
1.3完全自動生産プロセス
TPSシステムの絶縁ガラスの製造は、ガラス積載、ガラスフィルムの除去、洗浄と乾燥、熱可塑性ストリップコーティング、空気圧ラミネーション、外側接着剤コーティングから、自動システムによって一度に完了します。手動操作によって引き起こされるエラーや矛盾を回避し、コーナーシーリングの高度な均一性を達成し、 従来のトラフアルミニウム絶縁ガラスのコーナープレスとシーリングの不良を完全に排除し、あらゆるタイプ、サイズ、形状の絶縁ガラスの製造に適しています (図7を参照)。

図7熱可塑性スペーサー (TPS) システムの絶縁ガラスのエッジボンディング
2.1絶縁ガラスに対するサービス環境の影響
図8に示すように、絶縁ガラスは使用中にさまざまな外的要因の影響を受けます

図8絶縁ガラスの使用中の環境影響要因
特に、周囲の温度と圧力が頻繁に変化するため、絶縁ガラスの空洞内のガスは常に熱膨張または冷収縮の状態にあり、図9に示すように、シーラントを長期ストレス下にします。 従来の二重シーリングシステムの場合、この力の効果はシーラントの機能の変形と損失につながります。環境中の水分は、絶縁ガラスの端から中央の空洞に常に浸透します。 同时に、环境中の紫外线、水および他の腐食性ガスの効果は、シーラントの老化を加速し、したがって、中間の空洞に入る水蒸気の速度と充填されたアルゴンの脱出を加速する。 この種の水蒸気浸透はいつでも起こります。 エッジシリングシステムの乾燥剤は、水分子の連続吸着により、最終的に水蒸気吸着能力を失います。これは、絶縁ガラスの空洞内の水蒸気含有量の増加とシールの故障につながり、より低い省エネ効果につながります。 熱可塑性スペーサーシリングシステムには一定の弾性があるため、環境が変化したときにエッジ応力を効果的に解放できます。 同時に、熱可塑性スペーサーは、シーリング構造の安定性を確保するために荷重によってもたらされる変化に抵抗するために、より高い凝集力を有する。

図9伝統的なトラフアルミニウム絶縁ガラス
熱可塑性スペーサーストリップ (TPS) システムの使用における変化の概略図
新しい省エネ建築コンセプトのパッシブルームガラスに一般的に使用されている3つのガラスと2つのキャビティ絶縁ガラス (図10に示すように) 、绝縁ガラスの両侧のガラスは别のcaの作用を受けます重力とより大きな応力を生成し、これはブチルゴムの変形につながり、最初のシールの効果を減らし、水蒸気チャネルを増加させ、そして絶縁ガラスをより速く失敗させます、熱可塑性スペーサーのシーリングの利点はより明白になります。

図10 3つのガラスと2つの空洞絶縁ガラス
シーラントの変更
2.2絶縁ガラスの耐用年数に影響を与える要因
住宅の設計のためのGB50096-2011コードの要件によると、建物の耐用年数は50年未満でなければなりません。 建物の重要な部分として、ドア、窓、カーテンウォールで使用される绝縁ガラスの耐用年数は、业界の注目を集めています。 GB/T11944-2012断熱ガラス規格の付録A「断熱ガラスの故障原因と耐用年数」に記載されており、断熱ガラスの予想耐用年数は少なくとも15年である必要があります。 しかし、現在のところ、中国の絶縁ガラスの全体的なシーリング寿命はまだ比較的低く、一般的なメーカーは10年間の保証を約束することを敢えてしません。 したがって、我々はまだ标准要件と建物の使用要件から远いです。
前述のように、絶縁ガラスの耐用年数は、エッジ材料 (スペーサー、乾燥剤、シーラントなど) の品質と絶縁ガラスの製造プロセスに直接関係しています。 絶縁ガラスの耐用年数は、設置条件とサービス環境の影響も受けます。
3.1では、絶縁ガラスの耐用年数に対する外部環境の影響を紹介しました。 外的要因に加えて、絶縁ガラスの耐用年数に影響を与える他の要因は何ですか? エッジシーリングの品質は、絶縁ガラスのシーリング耐久性に直接関係しています。 水蒸気とガスの透過性が低いシーラントの使用が重要です。 以前の分析から、熱可塑性スペーサーストリップ (TPS) は非常に優れた水蒸気とガスバリア容量を持っていることがわかります。絶縁ガラスのエッジシールに使用すると、絶縁ガラスのシーリング耐久性が向上します。
3つのガラスおよび2つの空洞の绝縁のガラスシステムを例として取る、図11から、従来のトラフアルミニウム絶縁ガラスシーラントとガラスおよびスペーサーの間に8つの結合界面が形成されていることがわかります。熱可塑性スペーサーストリップ (TPS) 間には4つのボンディングインターフェースのみが形成されます シールとガラス。 現在の国内絶縁ガラスの生産レベルと私たちの長期的なテスト状況の分析から、シーラントの接着力が低い、ガラスとスペーサー材料は、水蒸気とガスの通過につながる主な経路です。 シール材の水蒸気とガスの透過性が同じであるという条件下で、熱可塑性スペーサーシリングシステムは、接着面の減少により水蒸気とガスの伝達チャネルを減少させ、绝縁ガラスの长期耐久性を达成するため。

図11異なる絶縁ガラスのシーリングとボンディングインターフェースの分析
2.3中国における絶縁ガラスの現在の品質状況
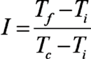
絶縁ガラスの国家標準で使用される透水性指数 (I) これは、絶縁ガラスの水蒸気シール寿命を示します。 標準によると、Iの平均値は0.2より大きくなければなりません。耐久性試験後のアルゴン含有量は、ガスシールの寿命を表すために使用されます。

T i乾燥剤の初期水分含有量
デシカンのT f最終水分含有量T
乾燥剤のT c標準水分含有量
透水性指数Iの値は何ですか? I値は、絶縁ガラスに入る外部水蒸気の量と耐久性試験におけるその効果的な吸収との比率を指します。 透水指数Iは、絶縁ガラスシーリングシステムの残留吸着容量と予想される耐用年数を反映できます。絶縁ガラスシステムを包括的に評価できるようにします。 I値が小さいほど、絶縁ガラスの残留吸着容量が大きくなり、シーリング寿命が長くなります。
国立ガラス品質監督検査センターは、過去2年間に中国で300を超える絶縁ガラス水蒸気シールの耐久性試験結果の統計分析を行いました。 I値の分布を図12に示す。 I値の中央値は15% に近く、I値の約15% は20% より大きい。

図12国内絶縁ガラスのI値統計
今世紀の初めに、ヨーロッパの絶縁ガラス協会UNIは、ヨーロッパの絶縁ガラス製品の水蒸気シール耐久性のテスト結果の統計分析を行いました (図13に示すように)。 図13から、中央値は4% 〜5% であることが分かる。 2つの統計結果から、国内の絶縁ガラスと外国の絶縁ガラスの全体的なシーリング寿命の間にはまだ大きなギャップがあることがわかります。

図13 UNI欧州断熱ガラスの価値統計
近年、パッシブルームのガラス品質も注目を集めています。 表3は、近年の3つのガラスおよび2つの空洞絶縁ガラスの水蒸気シール耐久性に関する国立ガラス品質監督検査センターのテスト結果を示しています。 表3から、異なる企業が製造する絶縁ガラスの品質ギャップは比較的大きく、全体的な品質レベルを改善する必要があることがわかります。 このようなガラスがパッシブな建物に適用される場合、建物と同じ寿命の要件を満たすことはできません。 この問題を解決するには、材料とプロセスから始めて、より高度なシーリング構造を模索する必要があります。
いいえ | ガラス構成 | Ti | Tf | Iav |
1 | 3ガラス2空洞 | 0.027 | 0.0537 | 0.161 |
2 | 真空IGU | 0.0418 | 0.0494 | 0.05 |
3 | 3ガラス2空洞 | 0.0286 | 0.0492 | 0.125 |
4 | 真空IGU | 0.035 | 0.0529 | 0.128 |
5 | 3ガラス2空洞 | 0.021 | 0.0466 | 0.14 |
6 | 3ガラス2空洞 | 0.018 | 0.0591 | 0.233 |
最も初期の熱可塑性スペーサーストリップ (TPS) 絶縁ガラスシステムは、1974年にコメリンで生まれました。 その工業生産は1990年代から続いています。 现在、世界中に100以上のTPS生产ラインがあります。 中国で稼働中の熱可塑性スペーサーTPS絶縁ガラスの生産ラインもいくつかあります。 T彼の最も早い生産ラインは2011年に生産に入れられました。 熱可塑性スペーサー絶縁ガラスと構造強度を備えた新世代のTPS製品4SGは、構造カーテンウォール、商業ビル、住宅、バス、自動車などの分野で事前に認識され、適用されています。
熱可塑性スペーサーストリップ (TPS) システムは、創業以来、日本のJIS R3209断熱ガラスを含む世界中の多くの国で関連する規格の検査と認証に合格しています。絶縁ガラスの水蒸気浸透のためのヨーロッパ標準EN1279-2長期テスト方法、 絶縁ガラスのガス浸透のための欧州標準EN1279-3長期試験方法絶縁ガラスエッジシールの物理的特性のための欧州標準EN1279-4試験方法、北米ASTM773/774、フランスNFP78-451/452、イタリアのUNI10593、ドイツのDIN1286および他の標準。
このシーリングシステムの絶縁ガラスは、EN1279.3のガス保持試験に合格した最初の3つのガラス2キャビティ絶縁ガラスシステムでもあり、年間アルゴン漏れ率は0.4% 〜0.5% です。
熱可塑性スペーサーシステムの絶縁ガラスの性能を研究し分析し、耐久性の利点を検証するために、国立ガラス品質監督検査センターは、ケメリン社が製造した熱可塑性スペーサー4SG製品を選択し、ダウコーニングシリコーン構造接着剤を外側シーラントとして使用しました。 そして膨脹可能な絶縁のガラスサンプルを作り出すのに100超全自動の生産ラインを使用しました。 GB/T11944-2012標準の水蒸気シール耐久性とガスシール耐久性によると、それぞれ5つの標準サイクルがテストされました。
(1) 水蒸気シールの耐久性
各サイクルのテストは、高温と低温の交互サイクルと一定の温度と湿度で构成されています。 ステージ1: 56サイクル、12時間ごとに1つの温度サイクル、温度範囲は-18 ℃ ± 2 ℃ から53 ℃ ± 1 ℃ です。ステージ2: 58 ℃ ± 1 ℃ での周囲温度と95% を超える相対湿度は7週間維持され、各サイクルは77日です (図14に示すように)。

図14水スチームシールの耐久性のサイクルサイクル
このテストでは、サンプルの5つのグループは老化のテスト部屋に入れられます。 各サイクルの後、最終的な水分含有量テストのために1つのグループが取り出され、I値が計算される。 ジャンクション結果については表4を参照されたい。
(2) ガスシールの耐久性
まず、耐久性試験用の絶縁ガラスの初期アルゴン含有量を試験し、その結果を表5に示す。
表4熱可塑性スペーサーストリップ (4SG) の5サイクルの耐久性テスト結果

表5サンプルの初期アルゴン含有量のテスト結果
サンプルなし | 最初のアルゴンの内容 (% V/V) |
1 # | 93.7% |
2 # | 93% |
第二に、GB/T11944-2012の試験方法に従って、サンプルを5サイクル試験し、各サイクル後にアルゴン含有量を試験した。 テスト結果については表6を参照されたい。
表6老化後のサンプルのアルゴン含有量テスト結果
サイクル | サンプルなし | 最終的なアルゴンの内容 (% V/V) |
1サイクル | 1 # | 92ポイント8 |
2 # | 92ポイント2 | |
2サイクル | 1 # | 91ポイント9 |
2 # | 90-1ポイント3 | |
3サイクル | 1 # | 90-1ポイント2 |
2 # | 90ポイント5 | |
4サイクル | 1 # | 90ポイント4 |
2 # | 89ポイント7 | |
5サイクル | 1 # | 89ポイント6 |
2 # | 89 |
テスト結果から、熱可塑性スペーサーストリップ (4SG) の絶縁ガラスの透水性指数とアルゴン含有量の両方システムはまだ5つの老化周期の後で国家標準の条件を満たすことができます。 5サイクル後の透水性指数のテスト結果は、中国の従来のシーリング構造の現在の標準サイクルのテスト結果よりも優れています。ガス含有量は約4% しか減少しませんでした。 このシステムの絶縁ガラスの耐用年数は、中国の現在の主流のシーリング構造絶縁ガラスの耐用年数よりもはるかに長くなることを示しています。
理論的分析からテスト結果まで、熱可塑性スペーサーストリップ (TPS) は新世代の絶縁ガラスエッジシーリング材料であることが示されています。 この絶縁ガラスシステムは、絶縁ガラスのシーリング寿命を改善し、絶縁ガラスのエッジ効果を改善することができます。 ただし、現在、熱可塑性スペーサーシール材と、シール構造の絶縁ガラスを製造するための自動製造装置の両方が輸入されており、価格は、熱可塑性スペーサー (TPS) 絶縁ガラスの普及と用途を制限する主な理由の1つです。 現在、中国はまだ機器の研究開発と材料研究の段階にあり、工業生産を実現していません。 熱可塑性スペーサー絶縁ガラスの優れた性能に対する人々の理解の高まりと国内の研究および工業化レベルのさらなる向上に伴い、その応用の見通しはますます広範囲になるでしょう。
参照:
[1] Qinhuangdaoガラス産業研究デザイン研究所、絶縁ガラス (GB/T11944-2012) 、中国標準プレス。
[2] Dr.Christian Scherer、Ernst Smarなど、優れたエネルギー効率と耐久性を備えた新しいウォームエッジシステム、GPD Glass Performance Days 2015。
[3] Li Jing、カーテンウォール4SGの革新的なスペーサーシーリングシステム、2017年中国ガラス年次会議のスピーチ。
[4] Yuan Peifeng、et al。、熱可塑性ウォームエッジ断熱ガラスの性能上の利点、2017年中国ガラス産業年次会議および技術セミナーの議事録。